摘要:导电细菌纤维素集导电性、生物可降解和高比表面积等优点于一身,在能量收集、传感检测等领域应用前景广阔,其制备与应用研究对推动环境友好型细菌纤维素新材料产业发展意义重大。文章综述了导电细菌纤维素的各类制备方法及其近年来国内外的应用研究进展。首先分别介绍了原位改性法、后功能化改性法和共混再生改性法制备导电细菌纤维素的原理及其优缺点;而后对导电细菌纤维素在超级电容器、健康监测和运动辅助检测等智能织物基传感检测领域的应用研究进行了详细讨论;最后指出未来导电细菌纤维素的研究需聚焦开发绿色、高效、可控的新制备方法,并深入探索其在生物医学工程领域的基础与应用。研究结果可为导电细菌纤维素制备、能源收集与智能织物基检测应用研究提供新思路。
摘要:在物联网驱动的可穿戴智能纺织品中,同轴线缆作为核心信号传输部件展现出了广阔应用前景。为提高同轴线缆的综合性能,首先系统阐述了同轴线缆的结构组成,其次重点分析了柔性同轴线缆屏蔽层与护套的纺织制备技术发展现状及适用材料,最后全面剖析了同轴线缆性能评价体系,并总结柔性同轴线缆在纺织材料创新、柔性结构设计和应用领域的研究进展与挑战。研究结果可为柔性同轴线缆的纺织化发展及其在可穿戴智能纺织品中的应用提供理论参考。
摘要:纳米纤维包覆纱(NCY)是一种通过核壳结构设计实现功能集成的先进纱线材料。基于包覆纺纱工艺制备的NCY有机结合了纳米材料的高比表面积优势与传统纱线的力学柔韧性,其独特的结构特性使其在柔性传感器领域展现出卓越的性能,现已成为智能纺织品与可穿戴设备研发中的核心功能材料。从NCY的制备方法出发,综述了基于静电纺丝与喷气纺丝法制备NCY的研究进展,比较了水浴静电纺丝、共轭静电纺丝、辅助电极自聚法和喷气纺丝等方法所制备NCY的结构特点及其差异产生的原因。结合在电容型/电阻型传感器与摩擦纳米发电机(TENG)等典型器件中的应用,探讨了结构对性能的影响。并针对当前制备与应用中的关键问题,提出了相应改进策略。综述结果对NCY结构优化及柔性电子器件的应用具有一定的参考价值。
摘要:针对传统有皂乳液聚合制备聚N-异丙基丙烯酰胺(PNIPAM)微凝胶过程中表面活性剂残留问题,采用无皂乳液聚合法制备PNIPAM微凝胶,并研究交联剂 N,N′ -亚甲基双丙烯酰胺(BIS)对PNIPAM微凝胶的微观结构、溶胀性能、温度响应特性及热力学行为的影响规律。结果表明:将N-异丙基丙烯酰胺(NIPAM)物质的量浓度固定为 100mmol/L ,BIS物质的量浓度达到 5mmol/L 时,可形成独立、均匀的球状微凝胶;而当BIS物质的量浓度在 1mmol/L 以下时,则形成结构不规则的微凝胶。在BIS物质的量浓度从5mmol/L增加至 15mmol/L 时,PNIPAM微凝胶的水合粒径从 600nm 下降至 459nm 。此外,随着BIS用量增加,微凝胶的溶胀率及其温敏性逐渐降低。研究结果可为PNIPAM微凝胶的设计和功能优化提供参考。
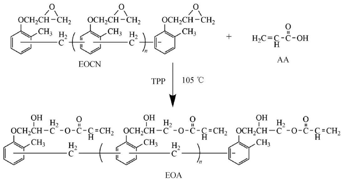
摘要:针对丙烯酸树脂在紫外光固化过程中存在的深层固化程度不足、热机械性能欠佳及附着力较差等问题,以邻甲酚醛环氧树脂和丙烯酸为原料,通过开环反应成功合成了一种新型光敏性邻甲酚醛环氧丙烯酸树脂(EOA)。以EOA作为主体树脂,系统研究了I型引发剂907和Ⅱ型引发剂ITX对EOA固化膜表层及深层双键转化率、热力学性能、铅笔硬度和附着力的协同影响机制。结果表明:当引发剂907与ITX以 10:1 的比例复配且总质量分数为 4% 时,EOA光固化膜表现出优异的综合性能。其中,深层双键转化率达到76.2% ,较单独使用907时提升了 22.1% ;玻璃化转变温度( Tg) 提升至 161.6°C ,增幅达 9.1% ;储能模量达到3259.5MPa ,提高了 21.1% 。同时,固化膜的铅笔硬度达到5H,附着力为0级,各项性能指标均得到显著改善。研究结果可为开发高性能紫外光固化材料提供新的思路和方法。
摘要:为了简便高效检测重金属离子Sb(III),以芘为生色团、以2-氨基 4- 甲氧基苯酚为功能基团制备了荧光探针 Py-ph-OCH3 ,测试了 Py-ph-OCH3 的稳定性,探究了 Py-ph-OCH3 在二甲基亚砜 (DMSO)/H2O 体系中的发光特性和 Sb(III)荧光检测效果。结果表明: Py-ph-OCH3 在不同有机溶剂、温度为 25~75qC?pH 值为5.5\~9.0的体系中均保持良好的发光稳定性。在 DMSO/H2O 体系中, Py-ph-OCH3 分子呈现出二聚体发光特性。当水的体积分数为 80% Py-ph- OCH3 浓度为 100μmol/L 时,由于 Py-ph-OCH3 功能基团中N、O原子与 Sb(III)的络合作用以及甲氧基的供电子效应 Δ,Py-ph-OCH3 对 Sb(III)表现出优异的荧光检测效果,荧光增强倍数最高可达15.29,检测浓度下限可以低至 1.077μmol/L ,且整个过程不受其他常见金属离子的干扰。研究结果可对印染废液中Sb(III)的精确检测提供参考。
摘要:聚氨基甲酸酯(PU)涂层应用广泛,但其抗紫外性能不足。通过水热法和溶胶凝胶法分别制备了二氧化硅( SiO2 )和二氧化钛( TiO2 )纳米颗粒,然后将这2种纳米颗粒与PU溶液共混,制备了 SiO2–TiO2/PU 复合涂层,并对比分析了共混后复合涂层的光老化性能变化情况。结果表明:采用水热法所制备的 SiO2 纳米颗粒内部无结晶区,采用溶胶凝胶法制备的 TiO2 纳米颗粒经煅烧后形成了规整的晶区结构,其结晶度和晶面间距分别为 98.20% 和 0.35nm 。当 SiO2 与 TiO2 共混比例为 1:1 并且控制PU的质量分数为 20% 时,所制备的 SiO2–TiO2/PU 涂层对紫外线的吸光度和反射率最高,该 SiO2–TiO2/PU 涂层在紫外光照射 30min 后,断裂应力和断裂伸长率分别下降了 32.69% 和 8.98% ,明显低于其他涂层,表现出优异的抗紫外性能。
摘要:为了制备兼具高结构稳定性和高颜色饱和度的光子晶体结构色涂层,采用半间歇式乳液聚合法制备PS@P(MMA-BA)胶体纳米微球,通过旋转蒸发浓缩及复配相关助剂构建光子晶体涂料体系,通过刮涂/喷涂和阶梯式加热组装处理,制备光子晶体结构生色涂层。结果表明:所制备的PS@P(MMA-BA)硬核软壳型胶体纳米微球尺寸均一、球形度良好;所构建的自成膜涂料体系呈现高饱和度、高亮度的色彩效果,并具有优异的动态回复性和贮存稳定性;由该涂料体系在多种基材上制备的涂层表现出显著的虹彩效应,且在不同环境中展现出优异的耐受性,实现了光子晶体涂层高颜色饱和度与高结构稳定性的统一。研究结果可为光子晶体结构生色技术在涂料领域的实际应用提供新的思路和有效途径。
摘要:为解决现有扩散模型在虚拟试衣任务中难以保持服装纹理和色彩一致性的问题,提出了一种新的多阶段虚拟试衣方法。该方法包括两个阶段:在第一阶段,设计了一个基于多尺度特征注意力模块的服装形变网络,以抑制参考服装在形变过程中出现的纹理不自然现象,确保服装纹理和色彩的准确传递。在第二阶段,通过结合ControlNet和边缘与角落区域掩码,构建了一个局部修复网络,该网络可以在保持服装纹理细节的同时,专注于修复服装与人体的边界区域。结果表明:服装形变网络能够保持服装主干区域的色彩和纹理特征,局部修复网络能够填补人体和服装边界区域的纹理,从而提高虚拟试衣的真实感。相比现有虚拟试衣方法,该多阶段虚拟试衣方法在视觉一致性方面表现出优越的效果,提升了虚拟试衣体验。
摘要:为了可视化了解冲锋衣通风开口设计对衣内温度与气流分布的影响,基于计算流体力学方法,构建标准仿真用的人体及冲锋衣三维数值模型,模拟分析结果并对比实验数据偏差验证模拟方法的准确性,分析各部位通风开口设计对衣内空气层气流流场与人体皮肤热分布的作用机制。结果表明:腋下通风开口显著促进腋下区域空气流通与散热,对流速度最大值 2.87m/s ,温度可降至 31.57°C ;胸部与腹部开口对躯干前部的空气循环与散热有明显效果,但对腋下、侧腰和背部的作用较弱;腹部和侧腰区域的温度变化较为均衡,其中腹部和侧腰开口对这两个区域的降温效果最为显著;背部通风开口主要影响背部和侧腰的气流循环与散热,其他开口对背部的降温效果并不明显。研究结果可为后续冲锋衣的通风设计提供参考,以满足不同场景下对服装舒适性和功能性的需求。
摘要:随着智能纺织品及医疗可穿戴技术的快速发展,对兼具高弹性形变能力和稳定力电性能的纤维电子材料需求日益迫切。设计并制备了一种基于棉/氨纶包芯纱为基底,通过层层自组装二维MXene纳米片构建的高弹性导电纱线。通过系统的力学性能、电学性能及热学性能测试与分析,结果表明:所制备的高弹性导电纱线不仅展现出优异的机械拉伸性能(可达 200% ),而且在高机械形变下仍能保持稳定的电学性能。得益于其独特的螺旋状结构,该导电纱线在形变过程中能够有效转移和耗散外界载荷,显著提升了其抗弯曲、抗扭转及抗拉伸等机械性能。同时维持了优异且稳定的力电性能。此外,该高弹性导电纱线对光/电等刺激具有突出的光热/电热响应行为,在个性化热舒适及保健理疗领域展现出独特优势。这种高弹性导电纱线在个人热管理纺织品和智能可穿戴设备领域具有广阔的应用前景。
摘要:柔性纺织传输线(简称纺织传输线)作为电子纺织品系统中的关键组件,其重要性日益凸显。然而,目前针对纺织传输线的成形工艺及性能评价体系尚缺乏系统性的总结与归纳。首先基于信号传输类型和结构特征对纺织传输线进行了科学分类,系统梳理了其技术体系。随后,重点从纺纱、编织、刺绣等6种主要制备技术入手,深入剖析了不同工艺制备的传输线在结构特征和性能表现上的差异性。在此基础上,系统归纳了现有纺织传输线的性能测试方法与评价指标体系,为产品质量评估提供了科学依据。最后,针对当前纺织传输线在导电性、耐久性、舒适性等方面面临的技术瓶颈,提出了未来发展方向和突破路径。研究结果可为纺织传输线的优化设计和先进制备提供理论指导和技术参考,从而推动电子纺织品向功能集成化和结构一体化方向快速发展。
摘要:为获得基于羊绒针织物的柔性压力传感器,选用MXene作为导电活性材料,以羊绒针织物为基底,采用浸渍-干燥工艺制备了织物基压力传感器。设计不同浸渍次数的压力传感器,探究浸渍次数对灵敏度的影响,并对传感器进行形貌观察和传感性能测试分析。结果表明:羊绒织物浸渍 MXene 溶液后,MXene可以有效地附着在羊绒纤维上形成导电通路;浸渍次数为2次的羊绒针织物压力传感器的灵敏度最高,在 0~ 50kPa 范围内灵敏度为 0.01531kPa-1 ;压力传感范围在 0~150kPa ;在不同应力条件下,该传感器展现出优异的稳定性和重现性,经过超1000s的压力加载/卸载循环测试,其传感性能仍保持稳定;该传感器可以用于人体关节运动监测,也可以通过按压时间长短实现摩斯密码信息传递,用于加密通讯和救援等领域。MXene 基羊绒针织物压力传感器在可穿戴纺织品领域具有应用潜力。
摘要:近年来,柔性电子技术与智能可穿戴设备的快速发展对可持续能源供给提出了更高要求。作为新型能量收集器件,三维间隔织物摩擦纳米发电机(3D-SF-TENG)凭借其特殊结构、高回弹及透气性等特性,成为可穿戴供能领域的研究热点。介绍了3D-SF-TENG的工作原理,分析了其制备技术(包括三维间隔织物的编织工艺、介电-导电材料集成策略及重要结构因素),总结了其在人体运动能量回收、柔性压力传感及自供电运动监测等智能可穿戴场景中的应用进展,并进一步探讨了3D-SF-TENG研究的局限性和目前所面临的挑战。综述结果可为3D-SF-TENG的进一步研究提供参考。
摘要:自闭症儿童在生活中面临多重障碍,为改善其困境,总结并分析针对自闭症儿童的智能可穿戴服饰产品的研究现状、关键问题与发展趋势。以自闭症儿童的穿戴需求为出发点,从情绪舒缓、行为管理、社交改善3方面梳理并分析了关于自闭症儿童可穿戴服饰产品的国内外研究现状。结果表明:目前针对自闭症儿童的智能可穿戴服饰产品凭借其持续监测性和贴身性等独特优势展现出显著的发展潜力,但还面临有效性、准确性和适应性等方面的挑战。未来应在解决不足的基础上,结合AR、云计算等技术,推动产品向互动化和个性化方向发展。研究结果可为自闭症儿童智能可穿戴服饰产品的进一步研究发展提供理论参考和思路。