编者按:高水平社会主义市场经济体制是中国式现代化的重要保障。习近平总书记指出:“我国经济发展获得巨大成功的一个关键因素,就是我们既发挥了市场经济的长处,又发挥了社会主义制度的优越性。”党的二十届四中全会立足“十五五"时期经济社会发展全局,作出“加快构建高水平社会主义市场经济体制,增强高质量发展动力”重大战略部署。“十五五”时期是基本实现社会主义现代化夯实基础、全面发力的关键时期,坚持有效市场和有为
摘要:在新一轮科技革命和产业变革的背景下,引导国有资本成为耐心资本是培育新质生产力的关键。在引导国有资本成为耐心资本的过程中,国有资本的“多重委托人”结构与激励机制的设计缺陷,是导致其陷入“长钱短投”激励困境的制度根源。引导国有资本成为耐心资本有四种实践模式,其中,平台主导型模式的特征是地方政府减少直接干预,转而赋予国有平台在投资决策中的高度自主权;链主嵌入型模式的特征是政企互动贯穿耐心产业链从培育到繁荣的全周期;基金群主导型模式的特征是利用国有资本撬动更大规模的社会资本以形成“耐心资本池”;多元主体型模式的特征是通过动态平衡的协同合作与冲突协调机制,实现对耐心资本的多主体培育。引导国有资本成为耐心资本需要充分尊重地方实践,鼓励地方大胆创新,因地制宜地探索符合本地实际的转型路径。
摘要:在数字经贸规则重塑全球价值链背景下,中国就业市场正由“总量扩张”向“提质增效”转型发展。聚焦“十五五”规划,如何化解“技能一产业错配”“收入分配极化”“人力资本分配不均”“就业规模与质量相对背离”四大困境成为重要命题。基于纳入技术偏向性的扩展性理论框架,证实数字经贸开放通过非对称产业规模效应,深刻改变了企业劳动要素需求。中国方案蕴含的“公平与效率统一、人民至上、有效市场与有为政府相结合”等特征,在破解就业难题方面具备独特的制度优势。应对老龄化与数字化转型的双重压力,关键在于坚持“就业优先”与“制度型开放”双轮驱动,将数字经贸规则开放红利转化为就业实效。具体路径包括:深化数据跨境流动管理,打通就业信息壁垒,完善人力资源供需匹配机制;依托数字技术规则优势,落实“技工并重”等终身职业技能培训制度;扩大数字产品市场准入与普惠接入以促进区域产业协同;完善数字驱动型创新规则以保障新业态劳动权益。
摘要:农村人居环境整治关系到美丽中国建设和乡村基层治理现代化的成效。依托共生理论的分析框架,基于对河北省F县典型案例的实证考察,系统探究农村人居环境整治中互惠共生治理模式的运作逻辑及其生成机制。研究发现:政府、环卫企业、村级组织、村民等组成共生单元,通过构造多方共生界面、激活多向共生能量、优化村庄共生环境,最终实现多元主体共同整治的互惠共生治理模式。其生成机制源于三大核心作用:一是以规则建构塑造共生界面与秩序,二是以利益协同创造并共享共生能量,三是以信任巩固激活内生动力并优化环境,三者共同促成价值共创。该模式的生成过程,揭示了农村人居环境整治中“共同体构建”的内在逻辑,为构建一个利益协同、激励相容、价值共创的稳定治理系统提供重要依据。
摘要:基层减负是关乎基层治理现代化的重要议题,而基层减负悖论是减负过程中产生的反常现象。基于广西B县基层减负实践,构建角色“资源—冲突"理论框架进行分析,发现基层减负悖论是基层减负任务与基层治理实务冲突的产物,源自基层干部所扮演的不同角色对有限治理资源开展的竞争性互动。减负悼论的生成受节奏加快、规则错误、能力不足等因素影响,遵循“角色定位偏差一角色冲突爆发一角色校正滞缓一角色超载生成”的演进逻辑。为化解此悖论,应采取制度重塑以释放角色活力、环境优化以激活角色动力、素养培育以强化角色能力等策略,切实推动基层减负,助推基层治理现代化。
摘要:中国式现代化,深深植根于中华优秀传统文化,体现科学社会主义的先进本质,借鉴吸收一切人类优秀文明成果,蕴含着独特的世界观、价值观、历史观、文明观、民主观、生态观。这独特“六观”构成中国式现代化鲜明的精神内核与深层的价值基底,不仅是创造人类文明新形态的根本观念支撑,也在哲学基础、制度设计与文明取向等层面实现了世界现代化理论的范式革新,为人类文明演进提供了创造性启思。中国式现代化蕴含的独特“六观”坚持追求弘扬全人类共同价值的现代化格局、人民至上的现代化逻辑、传统与现代交汇和民族与世界交织的现代化空间、文明交流互鉴的现代化图景、全过程人民民主的现代化样态、人与自然和谐共生的现代化模式,为世界现代化作出了原创性的理论贡献、实践创新。
摘要:习近平总书记关于“‘第二个结合’是又一次的思想解放”的原创性论断,具有深厚的历史、理论和实践意蕴。中国共产党团结带领全国各族人民进行革命、建设和改革的伟大历程中,始终坚持理论指导与实践探索的辩证统一,解放思想、守正创新,不断推进马克思主义中国化时代化。新时代,围绕坚持和发展什么样的中国特色社会主义、怎样坚持和发展中国特色社会主义等重大时代课题,需要进一步解放思想。马克思主义基本原理同中华优秀传统文化相结合,破除了“现代化 西方化”的迷思、打破了传统与现代的二元对立,赋予中国特色社会主义道路更加宏阔深远的历史纵深,夯实了中国特色社会主义道路的文化根基。坚持“‘第二个结合’是又一次的思想解放”,就要坚持马克思主义在意识形态领域的指导地位,推动中华优秀传统文化创造性转化和创新性发展;就要坚持以中国式现代化实现中华民族的伟大复兴,开创人类文明新形态;就要坚定文化自信,吸收人类文明有益成果,加快构建中国哲学社会科学自主知识体系;就要坚持深化大历史观,拓展中国特色社会主义道路的历史纵深。
摘要:集体经营性建设用地入市是调整乡村用地布局、激活土地潜力的重要政策举措,促进乡村产业融合与升级是推动乡村振兴的关键路径。利用2012—2022年全国地级及以上城市面板数据,采用多期DID模型,评估集体经营性建设用地入市试点政策对乡村产业发展的影响效应,考察入市政策对乡村产业融合与结构升级的影响作用及其内在机制。研究发现:入市试点政策总体上能够促进乡村产业融合发展,但未能推动产业结构升级;入市对乡村产业的影响存在显著异质性,与地理区域、高新技术水平和人力资本投资水平有关,在东部地区促进作用不明显,中西部地区虽有助于产业融合但易强化低端路径依赖;入市通过加剧乡村土地资源外流、削弱生产要素集聚程度影响乡村产业结构升级。基于此,应优化入市土地供给以满足融合型产业用地需求,优化乡村产业布局以提高要素精准保障能力和水平。
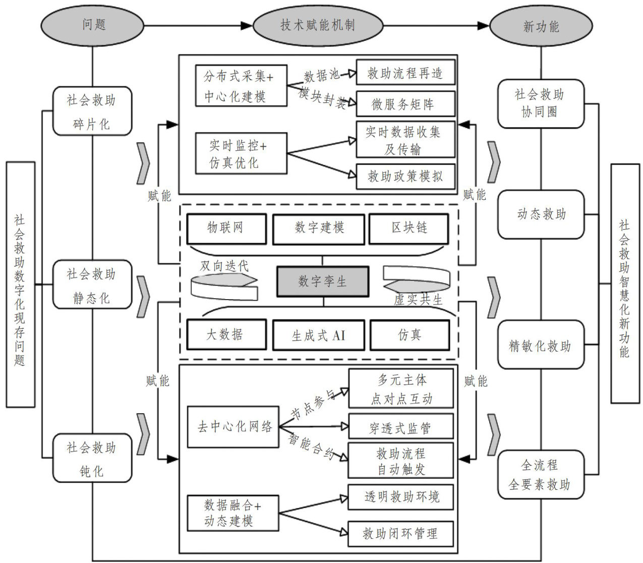
摘要:随着数字孪生技术的兴起,物理实体与虚拟模型之间的实时交互能力预示了社会救助体系智慧化转型的重要方向。在阐述数字孪生技术内涵及技术适配性的基础上,依托场景理论,探索数字孪生技术如何通过多源数据融合、高保真建模及动态规则引擎优化社会救助机制,特别是在低收入人口常态化帮扶场景中的应用潜力。以救助场景智慧化升级为主线,针对社会救助数字化现有实践存在的碎片化、静态化及钝化问题,创新性提出数字孪生驱动低收入人口常态化帮扶智慧化升级的新思路、新要素、新功能,搭建数字孪生技术赋能社会救助智慧化升级的运行框架。研究发现:数字孪生通过实时交互及虚实双向迭代优化的技术特性,可有效破解现有救助瓶颈,并延展出救助管理服务协同圈、动态化社会救助、精敏化社会救助新功能,最终实现社会救助全流程全要素优化。
摘要:党的二十届四中全会强调坚持全面依法治国的重要地位,并将加强涉外法治建设作为提升我国参与和塑造国际规则能力的重要内容。在涉外民事诉讼中,正确查明和适用外国法是提升民商事审判质效、彰显负责任大国形象的关键。对于外国法查明制度,中国并未采取传统的法律论观点,而是对外国法性质问题予以回避,直接规定二分法的外国法确定模式:当事人选择适用外国法时需提供相关内容,若无选择则由法院查明。此种做法似借鉴了英美法系的事实论,英国作为事实论的坚定捍卫者,其历史脉络和务实的诉讼模式为外国法查明提供了基础;而美国则逐渐从事实论转向法律论,其查明模式在对抗制与法院中心制之间的选择,反映了独特的法律文化。与之相比,中国外国法查明制度经历了曲折的发展,但当前仍站在事实论与法律论的十字路口,未明确外国法的性质,不利于实践的统一性。外国法的性质界定会对外国法的提出和查明制度产生影响,而法律论更符合中国的诉讼模式与构造,也更有利于中国当前外国法查明制度的完善。