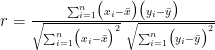
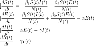
摘要:传染病对人类健康、经济、社会稳定具有重大影响,危害程度取决于其传播速度、传播媒介。人类是传染病传播的载体之一,但人口流动又受到GDP的影响,因此研究人口流动与GDP在传染病传播过程中的作用具有重要意义。目前传染病研究以SEIR模型为主,少有学者考虑GDP因素对传染病的影响。本文基于人口与GDP的Pearson相关系数,验证两者的关联性,提出融合流动人口与GDP的传染病模型。以贵阳市疫情传播为例进行实证分析,结果显示新模型预测效果优于SEIR模型,更接近传染病传播的实际情况。
摘要:人群异常事件检测有利于预防重大安全事故的发生,应用前景广阔。本文提出了一种基于时空信息融合的人群异常事件检测方法。首先从视频中提取梯度直方图(HOG)和光流直方图(HOF)特征,分别代表空间维度信息和时间维度信息。通过对连续帧特征进行加权累加,生成带时序的THOG和THOF特征,增强特征表达能力。随后训练基于THOG和THOF的分类器,实现时空信息融合,完成人群异常事件的判别。实验在VIF数据集上验证了该方法的有效性与鲁棒性。
摘要:在实际应用中,IGBT经常在极端工况环境下工作,功率模块不断积累疲劳损伤,造成系统的非计划停机。对IGBT进行剩余寿命预测,有助于减少经济损失。从IGBT模块的失效原理出发,提出了一种Bo-CNN-BiLSTM方法,有效提高了IGBT的失效预测精度。将预测结果的模型拟合优度(R2)提升到0.99407、平均相对误差(MRE)降低至0.00882、均方根误差(RMSE)降低至0.00428,并采用多步预测方法来增强结果可信度。研究结果表明,新方法对IGBT模块的剩余寿命预测具有实际工程应用价值。
摘要:利用反向可达集解决影响力最大化问题时,通常难以有效控制随机反向可达集的数量,造成算法精度和时间效率之间的矛盾。针对该问题,提出一种改进反向可达集的影响力最大化算法ORIS(Optimum Reverse InfluenceSampling)。该算法基于有效节点构建反向可达集,同时对有效节点筛选参数进行自适应调整,可以有效降低反向可达集数量,减少算法迭代次数。在三个真实数据集上的对比实验表明:ORIS算法相较于其他四种比较算法,在影响力传播范围和时间效率上均有显著提升。
摘要:电力企业财务单据类型多样、数据量庞大且语义复杂,现有方法在特征提取中容易丢失关键信息。针对这一问题,本文构建了一种融合混合注意力与Transformer的电力财务单据分类模型。首先,对电力财务单据进行预处理并通过EDC框架自动构建知识图谱;然后,将知识图谱嵌入表征向量,基于混合注意力机制进行知识融合,并使用Transformer进行训练优化。实验结果表明,该方法相比传统方法在准确率上提升了 5.7% ,且推理速度显著提高,为电力财务单据智能处理提供了高效的解决方案。
摘要:精确预测电力现货市场价格对于指导发电和用电资源有效应对市场波动具有重要意义。随着人工智能和机器学习的迅速发展,当前电力价格预测研究已经能够达到高效且精确的水平。Long Short-Term Memory(LSTM)及其衍生模型作为该领域的代表性方法,已经取得了一定的成果,但其预测准确度仍有提升空间。因此,本文提出了一种基于Transformer架构的新型出清价格预测模型,该模型首先利用皮尔逊相关系数筛选出影响因素,然后利用Transformer进行高效的输入编码,并通过模型改进更好地捕捉长序列特征。通过对蒙西电力现货市场的历史数据进行分析,将多步时序实时市场出清价格的预测值与现有的LSTM和BiLSTM模型的预测结果进行比较,结果表明该方法在预测精准度和普适性方面具有优势。
摘要:为解决传统深度学习方法在复杂森林环境下响应延迟和小火源识别精度不足的问题,本文提出轻量级森林火灾检测算法YOLOv8-CM。算法采用ConvNeXtV2模块实现轻量化,通过深度可分离卷积和通道重校准,使参数量和计算复杂度分别降低 8.2% 和 8.6% 。引入多频谱通道注意力机制(MSCA),结合频域特征增强与空间注意力,提升小目标检测能力并抑制背景干扰。在自建数据集上,YOLOv8-CM与YOLOv8n相比,在精确率、召回率和 mAP@0.5 上分别提升2.5%.0.9% 和 2.7% ,单帧推理时间小于 15.6ms ,为森林火灾早期监测提供了高效解决方案。
摘要:传统的 PM2.5 预测方法主要基于物理化学建模和统计回归分析,通常需要复杂的参数设置,且高度依赖于数据质量和天气条件。机器学习是一套先进、深刻且内容丰富的算法集合,已成为数据科学最主流的分析方法。本文基于K-近邻法和决策树算法,构建 PM2.5 浓度预测模型,进而引入随机森林来降低决策树的预测方差。实证结果表明:KNN和决策树均能有效预测 PM2.5 浓度,同时随机森林算法在不改变决策树预测误差的同时降低了预测方差,克服了决策树的高方差性。
摘要:针对人工蜂鸟优化算法存在易陷入局部最优和收敛速度慢的问题,本文提出一种多策略改进的人工蜂鸟优化算法(Improved Artificial Hummingbird Algorithm,IAHA)。引入混沌映射初始化种群位置,提高种群多样性;在引导觅食阶段利用莱维飞行策略更新蜂鸟位置,扩大搜索范围;在迁移觅食阶段引入自适应螺旋策略,以平衡算法全局搜索和局部搜索的能力。为了验证IAHA的性能,本文通过与其他6种算法进行对比,并将其应用于两个工程应用问题中,实验结果表明,IAHA算法的性能更优。
摘要:带式输送机作为煤炭运输的主要设备,其能耗直接影响煤炭生产的经济性与环保效益。本文提出一种基于经济模型预测控制(EMPC)的方法构建多级带式输送机系统的能耗优化模型,并结合事件触发机制,实现系统的自适应调整;其次,设计了一种事件触发机制,在保证优化效果的同时减少计算量;最后,通过仿真试验验证所提方法的有效性。结果表明,该方法能够在降低系统能耗的同时提高控制的实时性,为煤矿节能调控提供了一种节能控制解决方案。
摘要:海洋工程水下作业风险高,尤其在低能见度环境下,潜水员易与设备碰撞,轻则损毁设施,重则危及生命。针对作业验证与仿真培训手段缺失的难题,本研究开发了虚拟现实(VR)仿真训练系统。核心突破在于:基于动作捕捉技术,构建了符合人体工程学的高精度全身动作捕捉交互系统,有效解决了虚拟数字人仿真的可信度问题(关键姿态、轨迹、速度、角度等误差 ?4% )。平台集成碰撞检测与UI辅助功能,在渤海钢圆筒项目中验证:可降低操作失误率约 12% ,提升培训效率 40% 。该VR沉浸式培训为水下安装、维修作业提供了创新的数字化预演解决方案。
摘要:随着人工智能技术的广泛应用,AI智能体在认知型任务中的表现日益突出,为传统知识处理流程带来变革。面向投资行业中尽职调查材料整理、报告撰写等环节的智能化需求,本文提出并实现了一套基于大语言模型驱动的 AI智能体的投资报告生成系统。系统通过融合RAG机制、MCP插件框架、OCR识别及结构化提示词设计等技术,构建了自动化的材料解析与内容生成流程,实现从数据接入、知识整合到报告输出的全流程支持。实际应用表明,该系统在提升报告编制效率、增强内容一致性方面具有显著成效,展现出良好的实用性与推广潜力。
摘要:传统批改模式效率有限,难以满足智能化时代的发展需求。本文采用DeepSeek与批改网进行写作批改,构建对比框架,多维度对比分析大语言模型与规则引擎的批改反馈,揭示不同智能化工具在写作批改中的异同,提升智能化批改工具在教学场景中的适配度,最终通过优劣互补,促进写作教师的角色融合与转变,提升高职院校师生在英语写作教学中的效率及批改效能。
摘要:在人工智能技术高速发展背景下,本研究针对人工智能技术渗透教育领域带来的素养鸿沟,基于KSAVE理论,采用问卷调查法探究在校大学生的人工智能素养现状和学习需求,发现影响大学生AI素养因素较多。因此,高校应积极推广人工智能教育,为学生提供相关优质课程与资源,开展丰富的AI素养教育活动,不断提升大学生AI素养,以应对未来社会发展的需求和挑战。
摘要:随着人工智能和大数据技术的迅猛发展,传统的线性统计模型课程教学方法暴露出诸多局限性。大模型技术为线性统计模型教学带来了新的机遇。借助大模型技术,通过丰富教学资源、智能生成个性化的学习内容、优化革新教学方法,实现实时智能辅导,提高学生的综合学习和应用能力,以期为线性统计模型课程改革提供参考,促进线性统计模型课程教学方式的变革和创新。
摘要:针对网页设计课程案例静态化、反馈滞后等教学痛点,本研究提出生成式人工智能与知识图谱协同的教学改革方案。通过动态知识图谱实现学科知识的结构化建模与学情智能分析,结合DepSeek生成式AI工具链支持案例重组、代码纠错及布局生成,构建多维度智能评价体系。实践表明,该模式有效贯通知识体系、提升能力迁移效率,形成"AI生成—图谱关联—智能反馈"的教学闭环,为人工智能深度融入专业课程提供创新范式,推动产教协同与新工科人才培养模式转型。
摘要:针对建筑智能化系统运维人才紧缺问题,借鉴德国“双元制"经验,以人工智能平台为支撑,打造虚拟教研室和“四控一体”数字化实训平台,创新“场中校”工学交替模式,实施“六步四维"行动导向教学法,构建了“五双”人才培养模式(双主体共育、双基地联动、双导师协同、双身份切换、双证书贯通)。实践表明,该模式使学生岗位胜任力提升 37% ,企业满意度提高 28% ,并成功向菲律宾输出人才培养标准,为智能化人才培养提供了可复制的解决方案。
摘要:“产教赛融合"模式依托学科竞赛的枢纽功能,将产业技术、学科竞赛、教学目标深度交叉融合,将学校教育置于产业、学科竞赛和学校三者相互形成的“产教赛"网络之中,其核心价值在于以学科竞赛平台为枢纽,推动高等教育的产教深度融合,其实现途径是以赛为枢、服务产教,赛产互通、立足教学,赛教一体、反促于产。西南科技大学联合华为ICT学院,将计算机学科竞赛项目知识点融合到课程教学内容中,开展产、教、赛结合的课程改革探索,构建计算机基础课程“产教赛融合"的教学模式,从教学设计、思政教学等方面研究课程建设及实践过程,激活学生专业学习兴趣,充实教学内容,培养并提升学生专业能力和创新创业实践能力,助推计算机卓越拔尖人才培养。
摘要:大语言模型能精准分析学生反馈,诊断教学问题并为教师提供个性化改进建议。为充分发挥大语言模型在教学分析中的应用潜力,以课堂教学问答行为为主题构建智能分析编码体系,根据BROKE框架设计思维提示词,以“牛顿第一定律"为例开展智能分析实践。对比发现,智能分析效率更高,对分析标准的执行更加严格,改进意见更加详实。因此,基于大语言模型的智能分析方法可作为高效、客观的辅助工具,为教学问答质量分析提供有力支持。
摘要:随着信息技术的发展,建筑的智能化水平不断提升,这对从业人员提出了新要求。本文应用虚拟仿真技术,通过实训场景的三维重建,打破职业学校传统实训模式局限,实现多视图的虚拟仿真实训。依据生手、熟手、能手的技术技能型人才成长规律,构建不受时间、空间限制的虚实融合实训教学空间,全过程自动跟踪、记录学生的实训行为,预警实训过程中的错误操作,形成数据驱动的个性化、多样化、泛在化实训模式,提升学生技能学习效率。