摘要:影响力最大化是社交网络分析中的关键问题,旨在找到一个给定大小的种子集合以最大化影响力传播范围。以往研究多聚焦于传播广度,而忽视了公平性问题。本文提出基于进化算法的公平性影响力最大化算法FIMVGA,通过构建融合传播广度、公平性及公平代价的三维评估框架,有效平衡传播广度与公平性。实验表明,与对比算法相比,FIMVGA算法在考虑公平性的同时,能更好地兼顾传播广度,有效实现二者的平衡。
摘要:为探索脉搏波信号中蕴含的复杂性,并实现对房颤(Atrial Fibrilatin,AF)的高效识别,本文提出一种基于光电容积脉搏波(Photoplethysmography,PPG)信号的房颤检测模型。该方法融合了卷积神经网络(CNN)、双向长短期记忆网络(BiLSTM)以及光电容积脉搏波(PPG)技术,并构建了CNN-BiLSTM融合优化模型。与其他模型相比,该方法在数据预处理方面效率更高、对AF检测的灵敏度更强,所提模型在召回率 (92.89% )、精确率 (92.48% 以及F1值 (92.64% 方面均表现出较高的性能。与多种传统模型的对比验证了该方法的有效性,其具备良好的应用前景。该方法操作简便、检测效率高,可在一定程度上替代传统心电图检测方式,为房颤患者的长期监测与随访提供了新思路。
摘要:为了解决深度神经网络作为“黑箱"模型缺乏量化预测不确定性的能力以及贝叶斯深度网络受限于正态分布假设的问题,本文提出了一种基于广义双曲线分布的贝叶斯深度网络模型,并实证检验了模型的有效性。在金融市场上的检验结果显示,与正态分布假设相比,模型在GH分布假设下的预测性能显著提升,且网络结构引起的不确定性较小。本文提出的模型为非线性时间序列分析提供了一类更普适的范式。 关键词:时序分析;贝叶斯深度网络;深度学习;广义双曲线分布
摘要:随着城市交通网络日益复杂,传统交通流预测方法在刻画动态时空关系与建模道路结构方面存在不足。本文提出一种融合自适应邻接矩阵、动态消息传递机制与因果时间卷积的深度学习模型,该模型可有效提取交通数据中的时空特征,提升预测精度。该方法通过可学习节点嵌入生成自适应邻接矩阵,增强对动态交通结构的建模能力;设计改进的消息传递机制,结合单门控结构高效融合节点及邻居的时空信息;引入因果膨胀时间卷积建模长时序依赖。在PEMS-BAY与METR-LA两个真实数据集上的实验表明,该模型在短期与长期交通流预测中均优于多种主流方法,消融实验进一步验证了各模块对提取关键时空特征与提升性能的显著贡献。
摘要:本研究将深度学习应用于中医舌苔特征识别,提出基于计算机视觉的轻量级网络FEA-YOLOvl1。该架构通过ASPPF、FEC3K2和EC3K2模块实现多尺度特征融合,增强对不同形状与尺度舌苔特征的检测能力,同时降低计算成本、抑制噪声干扰。实验表明,优化模型较原始YOLOv11的mAP提升 3.1% ,参数减少115,520个,为舌苔自动化诊断提供了高效的轻量级解决方案。
摘要:求助类警情传统上主要采用人工处理的方式,存在效率低、主观性强等问题。为提升警情处置效率,本研究构建了智能化辅助决策模型。利用某地级市2017—2023年607万条警情数据,通过BERT-MRC模型提取自杀类警情属性,建立案例库与规则库。采用TF-IDF加权改进KNN算法进行案例检索。实验表明,改进算法较传统KNN显著提升案例匹配相似度,可为经验不足的民警提供决策支持。
摘要:肺炎是一种呼吸系统的常见病,尽管近年来已有较强抗菌药物,但肺炎致死率在一些特定人群中并未进一步降低。为实现对肺炎的及时诊断,针对X光片,本文提出一种新颖的深度学习方法,通过改进胶囊网络来进行肺炎识别。所提方法利用CIFAR10-quick部分网络提取特征,以矢量形式输入主胶囊层,解决了原始胶囊网络提取不变特征不足的问题,并借助残差模块间跨层直连的跳跃连接有效提高了模型抵抗梯度消失的能力。在ChestXRay2017数据集上设计的两个对比实验表明:所提方法表现出了较卷积神经网络更强的抵抗模型过拟合和处理小样本数据集的能力,同时较三组对比胶囊网络拥有更高的分类精度,其精确率、特异度、召回率、F1-score指标分别为0.966、0.985、0.731、0.832,具有优越性。
摘要:区块链计算设备的退役潮既是技术迭代的必然产物,也为构建可持续算力生态提供了战略机遇。本文通过系统分析退役区块链计算设备在技术重构、经济价值与环境效益三个维度的可行性,揭示了其作为异构算力资源的潜在价值:通过硬件改造与软件适配,退役设备可转型为边缘计算节点、分布式存储单元及科研算力载体,在降低电子废弃物污染的同时满足大模型推理等新兴人工智能场景的算力需求。
摘要:本文提出了一种基于通道空间注意力机制的迁移学习框架,用于检测胸部X线图像中的肺炎。该框架结合了ResNet101、ResNet50和ResNet34三种预训练模型的特征提取能力,并引入高效的通道空间注意力机制,以解决传统方法仅关注通道信息而忽略空间信息的问题。通过通道空间注意力机制,模型能够同时关注通道和空间信息,从而显著提高分类精度。实验结果表明,该方法在准确度、精确度、召回率和特异度方面均取得了优异的性能,分别为 98%97.2%99% 和 95.3% 。该研究为肺炎检测提供了有力支持,也为医学图像分类领域提供了一种新的高效解决方案。
摘要:传统的车牌识别系统采用多流程分步处理方式,容易累积误差,降低识别准确率。YOLO模型是一种深度学习目标检测算法,将目标定位、图像分割和识别整合为统一框架,利用卷积神经网络实现对图像目标的快速准确检测。本文提出基于YOLOv8模型设计一种车牌自动识别系统,介绍了车牌识别流程中的相关技术、系统分析与设计,通过模型训练对系统功能进行了实验验证。测试结果显示车牌识别成功率达到了预期效果。
摘要:在“双碳”目标背景下,减少贵州省农业碳排放对推动低碳转型意义重大。本文利用2000—2023年贵州农资投入和畜禽养殖数据,通过IPCC方法测算农业碳排放量,分析其变化趋势,采用随机森林方法探究影响因素并利用LMDI模型验证。结果显示,贵州农业碳排放量呈倒"V"形变化,碳排放强度显著下降;地区经济发展、区域产业布局和农业生产效率是关键影响因素;其中,农业生产效率和区域产业布局对碳排放减少贡献突出,地区经济发展则是碳排放增加的主要因素。最后,结合贵州山地农业特点,提出了低碳转型路径。
摘要:本文针对现代制造业对工件尺寸测量的高精度、高效率需求,提出了一种基于机器视觉平台的工件尺寸测量方法。本研究通过调节光学成像系统参数,包括光源亮度和镜头配置,结合图像处理软件的灰度匹配、直线检测等功能算子与脚本编程,保证了工件测量方法的稳定性和精度。实验结果表明,该方法在保证单件测量效率的同时,将尺寸测量重复性误差控制在合理区间,能够有效适应复杂工况下的尺寸测量需求。
摘要:为维持园区内网络的稳定运行,本文提出综合NetFlow和SDN的园区网络流量行为分析方法。利用NetFloW技术对园区内的网络流量数据进行采集,并对采集的数据完成缓存、传输、超时释放及数据封装处理。SDN控制器以NetFlow技术处理后的流量数据为数据源,提取流量特征并检测异常行为,最终实现对园区网络流量行为的全面分析。实验结果表明,本文方法可有效识别DDoS攻击、IoT异常、ARP欺骗等多种异常行为,检测率均超过 95% 。在10次测试中,该方法的漏检率均在 1% 以内,检测用时均在500s左右。该方法不仅能有效识别网络流量异常行为,还具备较高的检测效率,适用于园区网络流量的精准检测和安全防护。
摘要:城镇燃气是工业生产和居民生活的主要能源供给,是现代城市发展的能源基石。燃气监控与数据采集系统作为行业运营的神经中枢,其功能和性能对行业效率和安全至关重要,其信息化与智能化程度更是起决定性作用。针对燃气监控系统暴露出的诸多问题,提出了基于物联网、云计算、大数据和人工智能技术的新一代城燃SCADA系统软件设计方法,为城市燃气供应链高效、安全运转提供技术支持。
摘要:本文系统研究了Wi-Fi信号放大技术的物理原理、实现方法与实际应用。经实验测试对原始数据进行对比与分析,有效缓解了家庭场景中Wi-Fi信号电磁波传播衰减、多径效应和干扰等核心问题,为家庭组网提供指导性建议。同时,也可将适合的部署方案迁移至高密度场所、工业物联网及新兴领域。当前主流方案包括中继放大器部署、Mesh网络架构及电力线AP技术(其中,反射装置优化经实验验证效果无效)。未来随着Wi-Fi7标准的普及及算法的优化,信号放大技术将向智能化、低功耗与高集成度方向持续演进,为6GHz频段应用奠定基础。
摘要:针对计算机专业在新工科建设中的挑战,景德镇陶瓷大学将鸿蒙系统新技术纳入微专业教学,开设鸿蒙系统应用开发微专业,结合学校陶瓷特色,提出了一种具有行业特色的微专业建设模式。本文从专业介绍、培养目标、课程体系、教学模式和运行管理等方面对高校微专业的建设路径进行探索,经过实践,积累了具有行业特色的微专业办学经验,可为同类型高等院校提供参考。
摘要:为了解决农林高等院校中计算机图形学课程在教学过程中存在的问题,本文基于OBE理念探索课程改革。通过混合式教学模式整合线上线下资源,围绕涉农案例设计分层实验,融入思政元素及多元教学评价,强化学生工程实践与创新能力培养,激发学生服务社会的责任感。改革成效表明,学生成绩有所提升,竞赛参与度与获奖率显著增加。未来需提升教师信息化能力并优化课时分配,为农林院校新工科建设提供可复制的课程改革范式。
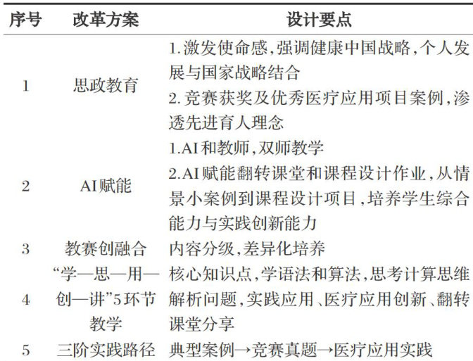
摘要:针对医学信息工程专业C语言课程教学中存在的教学案例与专业脱节、医工融合弱、学习动力激发乏力、评价重知识轻能力的问题,在AI背景下,通过修订课程目标、逆向教学设计、内容分级、AI赋能、教赛创融合、评价改革等措施,针对学生学习能力差异,以激发学习兴趣、培养计算思维、编程与实践创新能力为目标,专业特色案例库的建设、课程成绩与竞赛成绩的提升,均验证了改革的有效性。
摘要:在生成式人工智能(AIGC)技术重塑教育生态的背景下,乡村教师数字素养提升面临新的机遇与挑战。本文在阐述AIGC技术对乡村教师数字素养影响的基础上,分析了当前乡村教师数字素养存在的问题,从政策赋能、资源升级、精准培训、差异化评价、伦理护航等方面,提出了AIGC背景下乡村教师数字素养提升的路径,为乡村教育的高质量发展提供参考。
摘要:为激发学生主动内化知识并实现知识迁移泛化的创新意识,以混合式课程的线上微课观看平均反刍比作为突破口,从视频和学生两个维度展开研究。研究发现符合“元认知”策略的学习模式,识别出显著促进能力提升的微课视频特性,进而制定了基于知识图谱和生成式人工智能技术的混合式教学设计和考评方案。实施结果显示,方案对引导学生遵循"元认知"学习策略、激发学习自驱力和创新意识等方面有显著作用。研究成果对新建混合式课程建设具有指导意义。关键词:混合式课程;线上微课;平均反刍比;元认知;生成式人工智能(生成式AI)