摘要[目的]比较陆地棉和海岛棉种间TCP基因家族成员特征。[方法]利用生物信息学方法对陆地棉和海岛棉TCP基因家族进行全基因组鉴定,并对其理化性质、染色体定位、系统进化和组织表达等方面进行比较分析。[结果]在陆地棉和海岛棉中分别鉴定到69和70个TCP基因,分别具有31对和34对同源基因分布在22和21条染色体上,均为亲水性蛋白。陆地棉和海岛棉之间鉴定到59对同源基因。系统进化关系显示其分为CIN、CYC/TB1和PCF共3个亚族。陆地棉和海岛棉中同亚族的TCP基因家族成员具有相似的基因结构。基因组织表达特异性分析发现,基因Ghir_D13G006190 在陆地棉各组织都有表达,其同源基因Gbar_D13G006010 在海岛棉各组织都没有表达,属于PCF亚类。Ghir_A09G000900仅在陆地棉花瓣中较高表达,其同源基因Gbar_A09G000980 在海岛棉花瓣、花药、花柱中表达量较高,属于CIN亚类。Ghir_A12GO23760在陆地棉叶中表达量最高,其同源基因Gbar_A12GO23880在海岛棉茎中表达量最高,属于PCF亚类。顺式作用元件分析表明,陆地棉和海岛棉TCP基因家族启动子包含许多与植物光响应、生理响应、激素响应、胁迫响应相关的调控元件。[结论]该研究为进一步探究陆地棉和海岛棉TCP转录因子的功能差异提供重要的理论依据。
摘要目前世界粮食供给正遭遇水资源短缺、耕地减少、人口持续增长的严峻挑战,而基因工程技术已成为实现粮食增产的革命性手段。实现 C3 小麦 C4 化,以达到大幅增产的目的,是业内研究热点方向之一。科研人员已成功创制出“ C4 小麦”,但尚未创制出具有 C4 (2号植物叶片花环型的解剖学结构。对 C4 作物的叶脉发育和细胞排列模式尚有待深入探索。随着突变体策略应用和比较基因组数据的挖掘,对 C4 解剖学结构形成的遗传学认知正逐渐深入。系统综述 C4 光合途径的分子机制,论述实现 C3 小麦改造为 C4 作物的工程化策略、所面临的挑战,并展望未来发展方向,以期为 C3 小麦实现 C4 工程化提供有价值的参考,为保障全球粮食安全提供解决方案。
摘要针对牧草产量预测存在的多因素耦合难题,以朔州市辖区为研究对象,整合2005—2022年国家基本气象观测站数据(包括气温、降水、日照及 10cm 地温数据),耦合该地区近10年牧草年产量数据及其生长期气候条件需求特征,建立了基于BP神经网络的基础预测模型,并引入标准粒子群算法(PSO)及改进微粒群算法(IPSO)进行模型参数优化。仿真对比研究表明,经IPSO优化的BP神经网络预测性能显著提升,其平均绝对误差较 BP模型与PSO-BP模型更低。算法改进后的模型也展现出更强的泛化性能,IPSO 算法较基础PSO的全局寻优效率提高,从而验证了改进算法在复杂气象条件下牧草产量预测中的应用价值。
摘要作为国际性的健康食品,食药用菌高蛋白、低脂肪、低热量,同时含有多种人体所需的营养元素,是兼有荤素两者之长的优质食品。得益于高通量测序技术的飞速发展,众多物种的基因组测序工作日趋完善,为功能基因组学研究储备了丰富的数据资源。目前功能基因组学已被广泛应用于动植物的优良品种选育工作,是分子育种研究领域的热门手段。尽管食药用菌在基因组测序、基因功能分析及代谢产物功能挖掘等方面的研究已逐步展开,但由于起步较晚,尚未有通过分子育种手段选育优良新品种并投入实际生产的报道。因此,功能基因组学的深入研究不仅有助于加深人们对食药用菌生长发育与代谢的了解,也为实现食药用菌的分子设计育种及关键代谢物的高效合成提供基因资源和技术基础。综述了目前食药用菌的功能基因组学研究进展及其在菌种鉴定和改良方面的应用,并对未来食药用菌分子育种的潜在发展方向进行展望,以期为食药用菌的进一步开发利用和未来研究提供有益的参考。
摘要「目的]探究不同生长点习性甘蓝型冬油菜抗寒性差异机理,选育适宜北方寒旱区种植的超强抗寒甘蓝型冬油菜栽培种。「方法]以6份生长点凹凸程度不同的甘蓝型冬油菜为试验材料,研究低温胁迫对各试验材料生长习性、越冬率、根颈直径、细胞保护性酶(SOD、POD、CAT)活性、丙二醛(MDA)含量、可溶性蛋白(SP)含量和游离脯氨酸(Pro)含量的影响。[结果]与生长点凸起生长习性的冬油菜相比,生长点凹陷生长习性的冬油菜植株各部位具有较高的SOD、POD、CAT酶活性、SP、Pro和较低的MDA含量;生长点凹陷程度越大,其根颈直径越大、叶绿素a含量和越冬率也越高。[结论]相关生理生化指标在一定程度上能够反映不同生长点习性甘蓝型冬油菜的抗寒性。
摘要[目的]针对安徽池州烟区长期单一种植烤烟品种云烟87导致的品种退化及品质下降问题,开展新品种筛选研究。[方法]以云烟87为对照(CK),从农艺性状、经济性状、化学成分、外观质量及感官质量等方面,对安烟4号、川烟101、川烟102、粤烟211云烟100及云烟1216个烤烟新品种进行生态适应性评价。[结果]川烟101和川烟102的生育期与云烟87相近,经济性状稍好(产量分别较CK高 3.96%.9.02% ,产值分别较CK高 6.20%.7.64% ),化学成分协调性及外观质量与CK相当,川烟101香气丰富性及甜香、甜味较好,川烟102焦甜香韵独特。[结论]川烟102和川烟101兼具“优质”与“适产”,可作为池州烟区云烟87的补充品种;建议优化其配套栽培与调制技术,以充分挖掘品种潜力,提升烟区原料多样性和品质稳定性。
摘要以大花蕙兰“875”与春兰“毛泽水仙”杂交的 F1 群体为材料,利用主基因+多基因混合遗传模型进行表型性状遗传分析。结果表明,11个性状的变异系数在 10.31%~31.16% ,分离较为广泛,除叶片长度外,其他性状的中亲优势均达极显著水平;花朵横径和纵径、中萼片长度和侧萼片长度的超亲优势达极显著水平,并表现出明显的正向超亲优势。叶片长度、叶片宽度、花箭长度、花朵纵径和唇瓣长度均由2对加性-显性主基因控制,主基因遗传率分别为 99.79% ,98.45% 、 12.66% ) 98.61% 和 96.10% ;中萼片长度、中萼片宽度和唇瓣宽度均由2对加性主基因控制,主基因遗传率分别为 74.53% ) 43.25% 和 89.06% ;花朵横径、侧萼片长度和侧萼片宽度的最适模型分别为2对加性-显性-上位性、2对等加性和1对加性-显性主基因模型,主基因遗传率分别为 96.99% 、 65.82% 和 89.06% 。该研究探索兰属种间杂交后代重要性状的遗传规律,为兰花杂交育种亲本选配、新品种选育提供理论参考。
摘要针对粤东北山区冬季寡照高湿的设施环境特征及樱桃番茄主栽品种单一化问题,为筛选适宜本地设施栽培的优质樱桃番茄新品种。以粤东北山区典型设施大棚为试验基地,以广东省农业科学院设施农业研究所选育的“粤科达101”“粤科达202"和“粤科达206"为试材,采用基质栽培模式,系统比较3个品种的物候期、植株生长特性、抗病性、产量及果实品质等指标。结果表明,3个樱桃番茄新品种均具有较好的综合性状,其中“粤科达101"物候期显著提前,定植至初采期较其他品种提早5\~8d,定植42d后株高、茎粗和叶面积分别为 169.13cm?0.93cm 和 1 228.96cm2 ,显著优于其他品种;“粤科达206”产量最高,为 69601.95kg/hm2 ,采收期长达113d;“粤科达202”单果重最大为 19.76g ,但耐裂性较弱。3个品种可溶性固形物含量均达 8.30% 以上,其中“粤科达 206”糖度最高为 8.70% 。因此,“粤科达206"综合表现最优,其丰产性突出、采收期长且果实商品性好,推荐作为粤东北山区设施栽培主推品种;“粤科达101”可作为早熟栽培的优选品种,“粤科达202"适合短期集约化生产,需加强裂果防控技术研究。该研究为突破境外品种垄断、建立本土化栽培体系提供了技术支撑。
摘要为了解塞罕坝自然保护区归一化植被指数(NDVI)的变化特征及其影响因子,利用200—2020年MODIS NDVI数据和气象数据,采用回归分析、Theil-SenMedia趋势分析、Mamn-Kendall突变检验、Hurst指数及贡献率分析等方法,研究塞罕坝自然保护区NDVI时空变化特征及其对气象因子和人类活动的响应,并预测研究区NDVI变化趋势。结果表明:塞罕坝自然保护区NDVI总体呈上升趋势,植被分布存在地域差异,西部地区NDVI上升率最高,中部地区NDVI呈现下降趋势。研究区NDVI未来将延续现有的趋势,全区以上升趋势为主,但在西部地区将呈现NDVI下降趋势。降水和气温对研究区NDVI变化的影响以正向作用为主,人类活动一定程度上破坏了植被生长。
摘要[目的]研究大食物观下食物产能与国土空间承载时空耦合特征。[方法]利用1999—2023年成都市数据,采用耦合协调度模型研究食物产能与国土空间承载耦合特征。[结果]成都市食物产能下降并在空间格局上呈现向郊县(区)集中的趋势,膳食营养中热量、蛋白质产能下降,脂肪产能上升;成都市国土空间承载较低且具有空间梯度分异特征,呈现主城区高开发-低支撑-低承压与郊区低开发-高支撑-高承压的现象。食物产能与国土空间承载存在显著的正向反馈机制,但呈现高耦合低协调的互动特征,二者在协同发展上面临巨大挑战。[结论]立足大食物观与国土空间承载的有效衔接,可为大食物观理念践行提供参考。
摘要基于PSR模型,以土地覆盖数据、人口密度数据、NDVI数据、行政区边界矢量数据和社会经济数据为基础,运用熵权法、综合指数法、面积转移矩阵、动态度等方法对湖北省生态风险进行评价,并分析时空演变、空间分布和风险变化速率。结果表明:2003—2023年湖北省生态风险整体偏低,以低风险和较低风险为主,2种面积比例达到 80% 以上,但高风险面积持续增加;湖北省生态风险空间分布格局呈中西部低、东部高的分布态势,以低风险和较低风险占据优势地位。高风险地区随着时间推移向主要城市人口聚集地扩散;2003—2023年湖北省生态风险的面积波动变化,低风险面积转出最多,转出面积为 27680km2 ;较低风险面积转入 31233km2 ,高风险面积转入7173km2 。从2003—2023年研究区内总体风险变化速度上看,湖北省生态风险的整体变化速度先下降后上升,较低风险和高风险变化速度上升。
摘要为了掌握广西边境地区蜱的种类及分布,对凭祥地区若干生境点的游离蜱和寄生蜱类进行了采集和形态学鉴定,并对该区域蜱的种类组成进行分析。结果显示:捕获蜱1089只,经鉴定其分属于2科6属9种,即全沟硬蜱、森林革蜱、粒形硬蜱、微小牛蜱、具角血蜱、越原血蜱、亚洲血蜱、血红扇头蜱、蝙蝠锐缘蜱,其中优势种2个,分别为具角血蜱( 43.99% )血红扇头蜱( 30.12% )。凭祥地区蜱的种类增加及种群结构变化增加了其蜱媒病原对当地畜牧业的危害和该地区公共卫生的风险。
摘要研究稻蛙综合种养模式下,不同黑斑蛙放养密度对其生长性能及水稻产量的影响。通过田间试验,设置低(225000 只/ m2 )中1 (450 000)°≈/hm2 )、高( 9000000×/hm2) 3个密度梯度,并以水稻单作模式作为对照,系统评估了黑斑蛙的末均重、产量、增重率、特定生长率、饵料系数及稻谷产量。结果表明;放养密度对黑斑蛙的生长性能及水稻产量均具有显著影响。随着放养密度的增加,黑斑蛙的成活率显著下降,中、低密度组末均重显著高于高密度组( P<0.05 )。在整个养殖过程中,增重率和特定生长率随密度上升而降低,饵料系数则显著升高。水稻产量方面,中密度放养组的稻谷产量最高,且所有稻蛙共作处理组均高于水稻单作对照。综合各项指标,确定中密度(450000只) ?hm2 )为稻蛙综合种养模式中较为适宜的放养密度。该密度下,黑斑蛙的收获规格可达 45.00g/ 只以上,符合商品蛙上市要求,蛙产量超过 15000.00kg/hm2 ,稻谷产量保持在 7500kg/hm2 以上,体现了良好的生态与经济效益。
摘要[目的]制备清甜香型烟用香料,研究其作用机理。[方法]以烟叶浸提液为发酵培养基,优化发酵条件,通过乙醇冷萃法处理发酵液制备香料,采用GC-MS对香料的香味成分进行分析,结合感官评价评估其在卷烟中的应用效果,利用非靶向代谢组学探讨发酵机理。[结果]当烟草浸提液波美度为 ,发酵温度为 35∘C 发酵,发酵时间为 41.5h,pH 为7,搅拌速度为 154r/min 时,制得香料香气呈显著的蜜甜、
摘要为了给生态园林城市创新性发展提供新优植物材料,引种了21种新优植物进行试点应用,并利用层次分析法对这21种新优植物的适应性、景观效果和节约性进行综合评价。结果表明:抗逆性和成活率是引种植物综合评价的重要指标。根据综合评分的等级划分,翠芦莉“南国星”轮叶金鸡菊“月光”、荷兰鼠刺的综合评价为I级,在观赏价值、资源开发潜力和生物学特性等方面都具有明显优势,具有较强的观赏和推广价值。
摘要为合理开发利用和保护植物资源,调查了浙江省开化县重点湿地区域维管植物资源并进行植物区系分析。结果发现;该区域共有野生维管植物 362种,隶属于93科242属。科、属的组成以单种科(单种属)和小型科(小型属)占优势。生活类型以草本植物为主,占物种总数的 74.31% 。科、属的分布区类型多样,除世界广布型外,以热带分布成分为主,温带分布次之,呈现从热带向温带过渡的趋势。植物区系起源古老,保留着多种系统演化上原始的科、属及古老的子遗植物。
摘要新时代背景下,我国旅游业不断面临转型升级,而文旅融合IP旅游模式正是旅游业转型升级下的产物。文旅融合IP作为一种新兴的旅游发展模式,能够有效推动旅游地经济发展和文化的传播,是近年来旅游开发模式与途径的热点。基于此,以贵州省肇兴侗寨为研究对象,深入挖掘肇兴侗寨文旅融合IP的构建元素,运用SWOT分析肇兴侗寨文旅融合IP构建优势、劣势、机遇和挑战,对肇兴侗寨文旅融合IP进行构建,旨在为肇兴侗寨等少数民族村寨的文旅融合IP构建与旅游发展提供理论依据与实践参考。
摘要[目的]休闲农业的发展对于实现产业融合、农民增收和乡村振兴具有重要作用。京津沪渝作为4个直辖市依托各自的资源基础与强大的市场需求,休闲农业发展较快,水平较高且各具特色,对全国休闲农业发展有带动作用,对其休闲农业发展水平进行综合评价与比较,可为各地休闲农业高质量发展提供参考。[方法]根据4个直辖市休闲农业发展的实际情况,选取影响休闲农业发展的相关因素,利用灰色关联分析法研究关键影响因素,构建4地休闲农业评价指标体系;基于熵权法赋权并采用TOPSIS法对4地休闲农业发展水平进行综合评价。[结果]休闲农业综合评价指数从高到低依次为重庆(0.9931)、北京(0.2888)、上海(0.0658)和天津(0.0476);重庆市的休闲农业发展最好,其次是北京,再次为上海和天津,后两者发展水平相近。[结论]为推进大都市休闲农业持续健康发展,应多管齐下、多措并举,鼓励消费者转变消费理念,推动生态资源转变为产业资源,并扩大经营主体规模。
摘要[目的]探讨 20% 氨基酸· 1.2% 氯虫苯甲酰胺药肥对玉米生长发育及草地贪夜蛾防治效果的影响。[方法]采用盆栽试验,结合根部扫描与抽样调查法,系统评估氨基酸药肥产品对玉米生长的调控作用及对草地贪夜蛾的综合防治效果。[结果]与单一商品药相比,氨基酸药肥产品能显著提升玉米各项农艺性状,且能有效缓解单一施药对玉米叶绿素与MAD含量造成的下降影响,从而促进玉米生长。杀虫活性试验结果显示,灌根施用该药肥后7d对草地贪夜蛾的致死率最大,相较于商品药提升 35.14% ,14d时死亡率仍达42% 。[结论] 20% 氨基酸· 1.2% 氯虫苯甲酰胺药肥一体化产品能有效促进玉米生长并防治草地贪夜蛾。这为开发一种高效、环保的药肥一体化产品提供了理论依据和实践指导。
摘要采用4种不同无公害药剂对落叶松叶蜂幼虫进行毒力测定,并利用2种药剂和1种烟剂分别开展喷雾和喷烟防治试验,旨在筛选出理想的药剂种类及浓度,为落叶松叶蜂的种群调控和科学防治探索新思路。结果显示, 25% 灭幼脲悬浮剂 2000 倍液对落叶松叶蜂幼虫的校正死亡率均达 94% 以上,毒杀效果明显; 1.8% 阿维菌素乳油 3000~4000 倍液校正死亡率均达 90% 以上,毒杀效果突出; 25% 除虫脲可湿性粉剂5000倍液毒杀效果最差。林间防治试验结果表明, 1.8% 阿维菌素乳油校正死亡率为 80.16%~88.92% 25% 灭幼脲悬浮剂校正死亡率为 83.26%~87.75% 1.2% 苦参碱烟剂对落叶松叶蜂幼虫的校正死亡率为 66.54%~71.61% ,防治效果较为理想,应探索利用该烟剂防治幼虫。
摘要采用组织分离法对采集的红托竹荪染病子实体进行分离纯化,经测序比对鉴定出致病菌。采用菌丝生长速率法对26种杀菌剂进行室内药剂毒力测定。结果表明,从红托竹荪患病子实体中共分离出2株扣囊复膜酵母菌。利用菌丝生长速率法对26种杀菌剂进行筛选,结果显示,苯甲·肟菌酯、双胍·吡唑酯、戊唑醇、咪鲜胺锰盐、丙环唑、苯甲·嘧菌酯、氟环唑、烯唑醇8种杀菌剂均可有效抑制黄水病病原菌的菌丝生长,对病原菌最为敏感的杀菌剂为氟环唑,其 EC50 为 0.0386μg/mL 。
摘要采用 L25(53) 正交试验设计,探究氮磷钾配施对 90~180d 柔毛淫羊藿苗期生长的调控效应。方差分析与多重比较发现,尿素对苗高、茎直径、叶片数、根数量、根长5项指标均有极显著影响( P<0.001 ) 40g/m2 处理组较对照组苗高增加 26.0% ,茎直径增大 53.8% ;过磷酸钙在 40g/m2 时对茎直径提升达极显著水平( P<0.001 );硫酸钾 20g/m2 处理与基质背景钾元素( 0.633g/kg )有协同效应,使根长最大达 168mm 。综合指标最优组合为 I3I3I5 (尿素 40g/m2+ 过磷酸钙 40g/m2+. 硫酸钾 20g/m2 )。该研究揭示了淫羊藿苗期氮素敏感特性及磷钾协同作用机制,为西南山地淫羊藿规范化育苗提供理论依据。
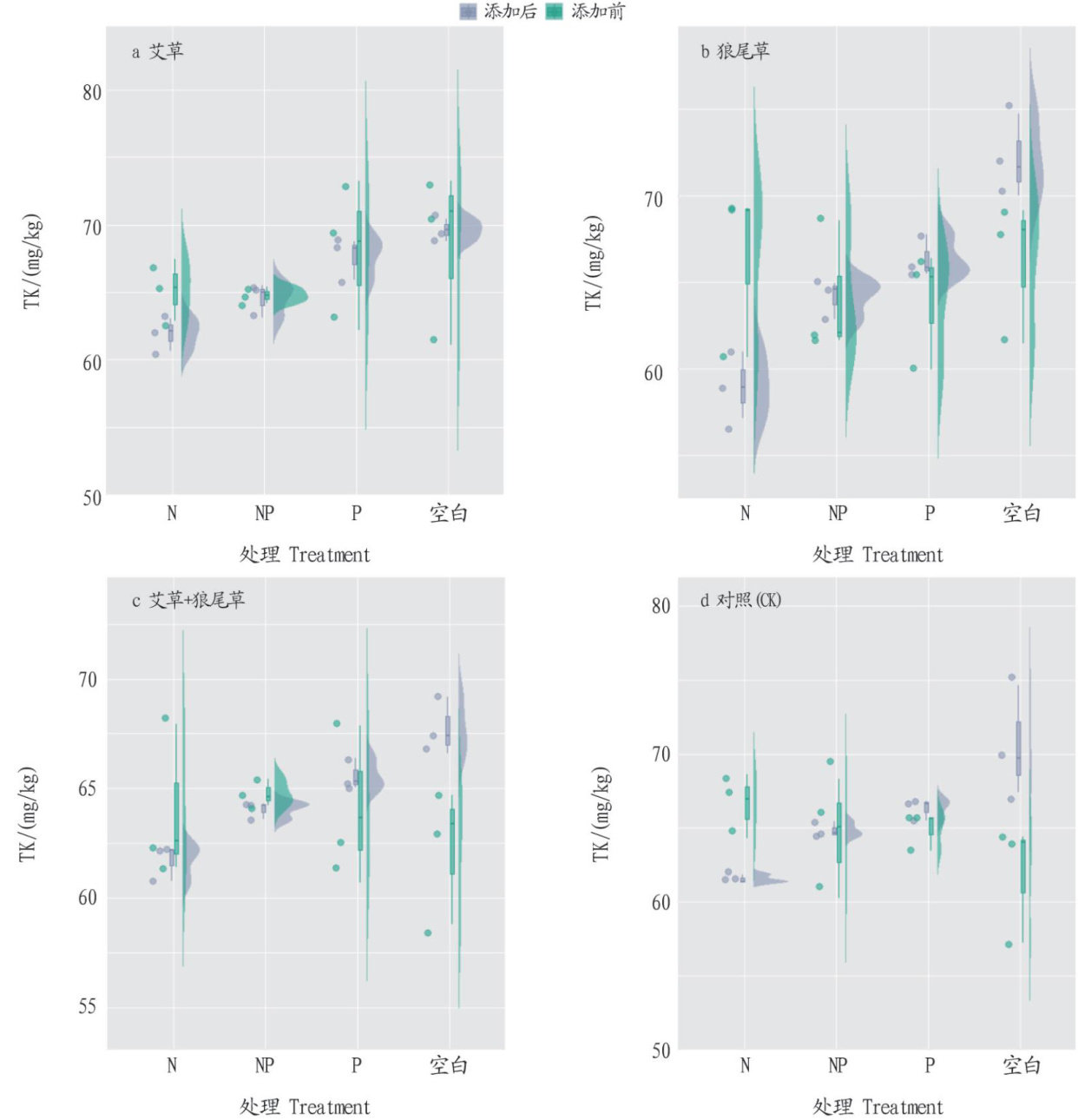
摘要选取我国西南喀斯特地区高原山地为研究对象,结合室内盆栽试验,运用结构方程模型(SEM)分析添加元素、植被的相互作用对土壤钾元素含量的影响。结果表明,氮添加显著降低艾草与混合处理全钾含量,但狼尾草组稍上升;磷添加未引起显著波动,而氮磷协同处理进一步强化全钾降低趋势。所有处理均显著提升速效钾含量,其中氮磷协同添加中全钾降低而速效钾显著增加。全钾与速效钾呈显著负相关,速效钾受硝态氮和易氧化有机碳的抑制作用。
摘要探究小麦、玉米轮作对烟叶连作土壤微生物群落的影响,评估不同作物轮作的自然修复能力。以烟草种植田土壤为对象,在烟草种植1年后,分别以同等条件在3块土地种植烟草、小麦、玉米,基于微生物组学结合生信分析技术研究小麦、玉米轮作与烟草连作对土壤微生物结构组成及菌群变化的影响。结果显示,小麦与玉米轮作模式对连作环境下土壤微生物群落结构产生显著作用,且不同轮作作物类型在影响土壤微生物种群组成方面存在明显差异,2种轮作作物中,玉米与烟草轮作的土壤,其真菌、细菌独有OTU最多,分别为58.52;在各处理组属水平下优势土壤微生物群落组成结构基本一致,但各处理组土壤微生物相对丰度存在一定差异,其中烟草连作土壤中第一优势真菌为镰刀菌属,为 20.14% ,小麦、玉米轮作后第一优势真菌分别为腐质霉属,占比分别为 18.22%,14.92% ;α多样性分析表明,玉米轮作可显著提高土壤中真菌和细菌的丰度,小麦轮作显著降低土壤中真菌丰度但提升细菌丰度,且2种轮作模式均显著降低真菌和细菌群落多样性;小麦、玉米轮作均可显著改变土壤中真菌和细菌的β多样性。利用小麦、玉米对烟田开展轮作均可以在一定程度上改善土壤微生物环境,2种作物在与烟草轮作过程中对土壤微生物环境的影响存在显著差异,且玉米与烟草轮作可以更加高效地改变土壤微生物环境。
摘要[目的]明确凝结芽孢杆菌LK-6在作物促生方面的潜力,为凝结芽孢杆菌在作物营养领域的应用提供理论依据。[方法]通过根际土壤分离、纯化,获得1株植物根际促生菌(plant growth-promotingrhizobacteria),命名为LK-6,从形态学和分子生物学开展菌株的种属鉴定。利用室内解磷平板测试、代谢产物靶向分析、促生盆栽试验等,进一步测定菌株LK-6的促生效果。[结果]经鉴定,菌株LK-6为凝结芽孢杆菌(Bacills coagulans),次生代谢产物成分分析表明,Bacllu coagulans LK-6具有分泌吲哚-3-乙酸的能力,有效成分含量达 206.0mg/L? ,解磷试验表明,Bacilus coagulans LK-6还具有高效解磷能力,能分解难溶性磷,提高磷的养分利用率。同时盆栽试验结果表明,Bacilus coagulansLK-6能够改善土壤微生态,促进根际有益微生物菌群的形成。田间试验结果表明,Bacilus coagulans LK-6具有显著的促生效果,与对照相比花生产量提升 14.4% 。[结论]BacilluscoagulansLK-6具有溶解难溶性磷、分泌植物生长激素、促进作物快速生长的特性,具备开发成促生型农用微生物菌剂的潜力。
摘要以选育的13个青翘优株和7个老翘优株果实为样品,采用冷浸法、水蒸气蒸馏法、高效液相色谱法等对优株果实中醇溶性浸出物、挥发油、连翘苷和连翘酯苷A这4种活性成分含量进行测定,并对测定结果进行综合分析,评价青翘、老翘以及所选连翘优株的药用价值。结果表明,所选连翘优株果实中4种活性成分含量均符合2020年版《中国药典》要求,整体药用品质较好。从4种活性成分的绝对含量来看,青翘优株均显著高于老翘优株。对13个青翘优株和7个老翘优株果实4种活性成分含量进行标准化箱线图、误差线柱状图和总体相关性分析表明,优株果实4种活性成分绝对含量差值从大到小依次为醇溶性浸出物>连翘酯苷A>挥发油>连翘苷;13个青翘优株果实醇溶性浸出物含量较为集中,而挥发油、连翘苷和连翘酯苷A含量具有明显差异,其中连翘酯苷A含量差异最显著;7个老翘优株果实醇溶性浸出物、挥发油、连翘苷和连翘酯苷A含量均较为集中,没有明显差异。13个青翘优株果实之间活性成分的总体相关性普遍较高,特别是青翘2\~青翘10果实之间活性成分的相关性尤为显著;7个老翘优株果实之间活性成分的总体相关性也较为明显。进一步对优株果实4种活性成分含量进行聚类分析表明,就单一活性成分含量来看,青翘3、青翘4、青翘8、青翘11、青翘12、老翘4、老翘7、均具备药用连翘品种开发潜力。综合4种活性成分含量分析来看,青翘3、青翘4、青翘9、老翘4、老翘7果实总体活性成分含量较高,可作为药用连翘良种进一步选育研究。
摘要以铁皮石斛鲜茎为试验材料,通过设置扦插时间、育苗基质、插条选择(苗龄、部位)、植物生长调节剂、施肥种类等变量处理,探究不同条件对插条抽芽及生长的影响。结果表明,4月采用椰糠作为育苗基质进行扦插时,一年生假鳞茎的成苗率显著高于其他处理;奥绿肥对插条抽芽率的提升效果最优,且对插条后续成苗生长具有一定促进作用。综合分析,4月选用椰糠作为一年生假鳞茎的育苗基质,结合其生长习性,以奥绿肥为底肥并适时喷施氨基酸水溶肥和根比奥水溶肥,可有效提高扦插苗的生长速率。
摘要[目的]研究桂红2号传统工艺六堡茶加工过程中主要化学品质成分含量和汤色的动态变化规律,为传统工艺六堡茶风味品质形成提供理论依据。[方法]以桂红2号为研究对象,比较分析六堡茶加工过程中茶样的主要内含成分(水浸出物、游离氨基酸、咖啡碱、茶多酚含量)和茶汤色差等变化。[结果]加工过程中,水浸出物和茶多酚含量呈下降趋势,咖啡碱含量变化不明显,氨基酸含量呈先上升后下降趋势。茶汤的 L* 值随着加工进程逐渐下降, b*/a* 值的绝对值随着堆闷时间的延长逐渐变大。[结论]桂红2号传统工艺六堡茶加工过程中不同生化成分变化趋势存在差异,具涩味的成分含量降低,各成分间含量更加协调,茶汤汤色逐渐变深,为传统工艺六堡茶特殊风味品质的形成奠定基础。
摘要[目的]研究湖北地区茄芯与茄衣的可用性及感官质量,推动当地优质茄芯与茄衣品种的推广。[方法]对湖北产区13个茄芯品种和9个茄衣品种的物理特性、化学组成、化学成分的有效性指数以及感官质量进行系统评估。[结果]茄芯品种CX84和CX81,茄衣品种云雪2号和CX07在物理特性、化学成分有效性指数以及感官评分方面均表现突出。茄芯品种海研204、茄衣品种川雪2号和海研103品质均不佳,氯和烟碱含量较高,限制了其可用性的进一步提升。湖北产区不同茄芯品种的感官质量排序是 CX84>CX81> 海研 201> 云雪6号>德雪4号>海南一号>楚雪-14>CX80>CX14 ?> QX1>QX2>川雪3号>海研204,不同茄衣品种的感官质量排序是云雪2号 >CX07> (20号CX26>德雪7号>云雪1号>建恒二号 > 海研 103>QX3> 川雪2号。[结论]湖北产区适宜种植和推广的茄芯品种是CX84和CX81,茄衣品种是云雪2号和CX07。
摘要[目的]探究烟叶的近红外光谱与烟叶油分之间的关系,为烟叶油分的快速识别提供参考。[方法]以烟叶油分档次分类模型为研究对象,选取301片烟叶样本作为训练集,构建包括支持向量机、随机森林、多层感知机等机器学习分类模型,并融合为单个分类模型,以76片烟叶样本作为测试集评估融合模型的分类效果。[结果]融合模型在测试集上的分类准确率达到了0.87,在油分档次为枯燥的数据集上,模型的精准率和召回率分别为0.90和0.93;在油分档次为中等的数据集上,模型的精准率和召回率分别为0.60和0.50;在油分档次为油润的数据集上,模型的精准率和召回率分别为0.88和0.84。[结论]以此方法构建的分类模型在基于烟叶近红外光谱识别烟叶油分档次方面有较好的分类效果。
摘要[目的]建立QuEChERS-气相色谱-串联质谱法(GC-MS/MS)检测野生食用菌中8种拟除虫菊酯类农药残留的方法。[方法]样品采用乙腈作为提取溶剂,经盐析包盐析分层,取上清液旋转蒸发近干后用 2mL 乙酸乙酯复溶,再经 150mg 无水硫酸镁、 100mgN- 丙基乙二胺(PSA)和 7.5mg 石墨化炭黑(GCB)净化,用GC-MS/MS检测分析,外标法定量。[结果]8种拟除虫菊酯类农药在0.006\~(204号 1.200mg/kg 范围内线性关系良好( r?0.999 ),检出限为 0.002~0.003mg/kg, 定量限为 0.007~0.010mg/kg 在3个加标浓度水平(0.024、0.120和 0.600mg/kg )下,平均回收率为 66.05%~108.19% ,相对标准偏差(RSD)为 2.43%~12.23% 。[结论]该方法有机溶剂用量少,操作简便,选择性好,灵敏度高,适用于野生食用菌中8种拟除虫菊酯类农药残留的检测分析。
摘要[目的]为喀斯特山区优化国土空间、洪水风险管理和农业安全提供科学支撑。[方法]以典型喀斯特流域为研究对象,基于1985—2022年遥感数据,综合运用SCS-CN水文模型、多元线性回归及地学统计方法,解析研究区近40年来不透水面扩张时空特征,并定量模拟其对地表径流与洪水淹没范围的影响。[结果]近40年间,研究区不透水面面积由 3.31km2 增至 22.05km2 ,空间上呈现西北—东南向连片化扩张趋势。地表径流量与不透水面面积呈高度正相关,低强度降雨下径流增幅更为显著,洪水淹没范围随不透水面扩张逐渐由下游低洼农田区向中上游城市区域扩展,威胁农业及城市基础设施与耕地资源。[结论]研究揭示了喀斯特地区不透水面科学管控对协调城市发展与防洪减灾的重要性,研究结果可为喀斯特山区国土空间规划和农业可持续发展提供科学依据。
摘要河流健康是可持续发展的核心内涵,其状况直接关系生态系统的安全与人类福祉。当前,日益增强的人类活动使许多河流生态系统面临临界状态。因此,修复河流生态系统对改善其健康状况、实现科学管理具有特殊意义。为探究各因素对河流健康评价的影响,以青龙河为例,构建了包含4个准则层与13项指标的多因素评价模型。该方法综合主观层次分析法(AHP)与客观赋权法(CRITIC)的主客观赋权优势,基于博弈论进行组合赋权确定综合权重,并利用云模型,对青龙河2022—2023年的健康状况进行评估。结果显示:研究期内青龙河健康等级均为“非常健康”,但存在生态流量满足程度低、底栖无脊椎动物完整性指数与鱼类保有指数偏低、公众满意度不足及防洪率未全线达标等问题。相较2022年,2023年健康状况总体改善,其中底栖动物完整性指数提升显著。该方法可为河流生态系统管理与修复提供决策依据。
摘要中国面临气候变化风险,农业保险作为重要保障工具,迫切需要高质量发展。但当前农业保险未能充分考虑区域内的气候变化指标,在一定程度上导致了气候变化与农业保险发展不适配的情况。为此,该研究结合气象站和农业保险数据,深入探讨气候变化对中国农业保险高质量发展的影响,揭示其潜在机制和区域异质性。结果表明,气候变化以及极端天气事件都显著促进农业保险的高质量发展,且对东部季风地区、农业经济发展较快地区的影响更为突出。调节效应进一步分析表明,农业科技创新的提高可以加速农业保险高质量的发展。最后,提出相关对策建议,为管理气候变化风险、促进农业保险高质量发展提供有益启示。
摘要为探究河源市数字经济与乡村振兴战略发展的相互作用,构建评价指标体系,运用熵权法和耦合协调度模型分析2012—2023年河源市数字经济与乡村振兴的耦合协调度,并通过障碍度模型精准识别影响关键制约因素。结果表明:河源市数字经济与乡村振兴战略发展具有较高的相互关联度,且协调度逐年递增;影响二者协调度的核心障碍因子分别是生态宜居、乡村治理、数字经济基础设施、数字技术、数字产业发展水平。基于此,提出加大数字化基础设施建设,强化数字产业与农业全产业链融合、推进数字技术乡村治理、生态保护等方面的应用、提升农村居民数字素养等建议,以数字赋能推动河源市乡村振兴高质量发展。
摘要引导种植户进行农业绿色生产的行为决策,对于从源头上防治我国农业面源污染具有重要意义。根据江汉平原372户水稻种植户的调查数据,通过构建多元有序Logistic回归模型实证探究资源禀赋、政策规制对水稻种植户绿色生产意愿的影响,并探讨政策规制在其中的调节效应和作用机制。结果表明:资源禀赋对种植户绿色生产意愿有显著的正向作用,其中,自然资源、人力资源、经济资源、社会资源均对其绿色生产意愿有显著正向影响;政策规制对种植户绿色生产意愿有显著的正向作用,其中,激励性政策规制和约束性政策规制均起显著正向影响;激励性政策规制情景下,政府补贴在强禀赋家庭中对其绿色生产意愿的影响更大,技术推广在弱禀赋家庭中影响更明显,而在约束性政策规制下的调节效应均不明显。据此,提出加大农业绿色生产技术的宣传推广、多维度提升种植户资源禀赋积累水平、聚焦弱势,补齐短板、完善种植户绿色生产行为的激励和监管体系等政策建议。
摘要耕地地力补贴政策构成了我国农业支持保护体系的关键部分,自2015年起,由原先的“三项补贴”整合而成,并于2016年全面推行。其核心在于引导农民保护耕地、推动农业绿色转型,这是确保粮食安全、促进农业可持续发展的关键措施。聚焦山东省,构建了一个包含政策内容、实施效果、执行情况3个准则层和12个指标层的评价体系。通过运用层次分析法(AHP)来确定各指标的权重,并结合模糊综合评价法进行综合评估,对政策成效与执行状况进行深入剖析。研究揭示,该政策的整体质量评分为3.6082,定位于“一般”等级。在政策的设计、执行和效果方面,存在一些问题,包括补贴标准未能充分考虑地区间的差异、政策缺乏创新性以及监督和检查的力度不足等。因此,从优化政策设计、增强执行效率、重视效果提升等角度,提出了具体的优化建议,目的是完善政策体系,促进山东省农业的高质量发展。
摘要为探究我国草业科学专业教学改革研究现状、热点及未来发展趋势,以“草业科学”和“教学改革”为主题词,以中国期刊全文数据库截至2025年1月1日收录的222篇相关文献为数据源,对其发文量、载文期刊、作者、机构和关键词等进行可视化分析,旨在为草业科学专业教学改革提供理论指导。结果表明,草业科学专业教学改革的年发文量总体呈波浪式上升趋势,其中《草业科学》为最大载文量期刊,甘肃农业大学为最大发文量单位,但作者及科研机构间合作不紧密。当前研究热点主要集中在“实践教学”“人才培养”“教学模式”“课程思政”和“新农科”等方面,而未来应注重新农科背景下的教学改革模式研究,紧跟时代发展新形势、新挑战与新机遇,继续深化课程思政与课程教学的深度融合,将草业科学专业发展与国家战略需求紧密结合。
摘要当前农业生产方式存在的诸多问题,如资源浪费、环境污染等,严重制约了农业可持续发展,通过对循环农业进行梳理,有助于研究者对该领域全面了解。借助中国知网(CNKI)数据库中我国循环农业领域的相关文献,利用Citespace软件对文章中的机构、作者、关键词等节点进行共现网络、聚类分析,绘制表格和图谱,通过信息可视化手段分析我国近年循环农业领域的相关情况。结果显示:循环农业研究在2011年和2017年发文量在区间内较多,受政策推动明显,之后逐年下降,表明研究逐步趋于完善;机构间合作逐渐减少,合作机制有待完善;早期作者合作较少,近年来合作有所增加,但整体联系仍不够紧密;研究热点集中在低碳化、发展模式及循环经济,未来趋势为生态化、科技化和产业化。未来循环农业将融合先进技术,强调系统思维与综合管理,满足多元化需求,并加强国际合作,具有广阔的发展前景。
摘要耕地占补平衡政策在中国耕地保护体系中占据核心地位。该研究系统梳理了耕地占补平衡政策的发展历程,深入剖析了其在保障耕地数量、质量与生态等方面的实践成效与现存挑战。通过借鉴相关经验,提出涵盖完善占补平衡指标体系、提升补充耕地质量、强化生态保护、推进市场化运作以及加强监管与信息化建设等多维度的优化策略与创新路径,旨在为耕地占补平衡政策的持续改进与有效实施提供全面理论支撑与实践指导,以实现耕地资源可持续利用和农业生态环境的稳定保护。
摘要食用菌作为多元化食物供给体系的重要战略组成,兼具生态循环特性和高营养价值,在保障粮食安全与推动农业可持续发展中发挥关键作用。长三角核心城市苏州依托区位优势与市场需求,近年来食用菌产业呈现快速发展态势,产业规模不断扩大。该研究通过梳理食用菌产业现状与发展瓶颈,结合苏州实际,从食用菌种质资源挖掘、产能提升、规模扩大和金融政策保障等方面探究苏州地区食用菌产业的发展策略,旨在为推动苏州市食用菌产业的高效优质发展提供理论基础和实践参考。
摘要文化治理作为新时代乡村治理的深化,是我国乡村振兴突围的关键。如何汲取传统乡村治理智慧,找回中国乡村发展的内生动力,是我国乡村文化治理转型中亟待解决的问题。茶坑村根植梁启超“乡治”论,形成了以“互助”为特色的“五治融合”文化治理模式,引领茶坑村取得了持续有效的建设成果,形成了有序互构、良性运行的乡村文化治理经验,研究从“治理主体-治理规则-治理效能”三方面揭示其实践机制,以期为我国乡村治理提供参考与借鉴。
摘要运用实地调研、案例分析等方法对藏族赛马节赋能乡村文化振兴的价值意蕴、现实困境与实践路径进行深入探讨,旨在为藏族赛马节驱动乡村文化振兴提供理论支撑和实践参考。研究认为,藏族赛马节赋能乡村文化振兴的价值意蕴体现在强化文化认同,奠定乡村文化振兴之基;激活文化资本,驱动乡村经济振兴之力;传承文化精髓,丰富乡村文化生态之魂;拓展文化空间,促进乡村文化开放之态。但也面临文化认同弱化冲击乡村文化根基、经济基础薄弱限制文化振兴步伐、人才资源匮乏制约文化传承动力、保护机制缺失影响文化生态安全等现实困境。对此,提出强化赛马节文化展示,重塑乡村文化认同根基;依托赛马节发展旅游,夯实乡村文化振兴基础;培育赛马节文化传人,激发乡村文化传承活力;完善赛马节保护法规,确保乡村文化生态安全等实践路径。
摘要内蒙古黑土地是我国粮食稳产和生态安全的重要屏障,但长期过度开垦和单一的生产模式导致土壤有机质下降、土层退化、水土流失等问题。近年来,内蒙古通过建立保护性耕作示范区、推广秸秆还田与轮作休耕技术、应用智能农机、实施跨区域协同治理,并配套财政补贴和政策激励,取得了阶段性成效。然而,在生态修复与经济发展、技术推广与农户接受能力、资金投入周期与长效机制建设、数字化应用与基础设施支撑等方面仍存在矛盾与制约。为实现黑土地可持续利用,应统筹生态保护与农业增产,完善绿色耕作体系和跨部门协同机制;加强技术培训与示范推广,提高农户参与能力;构建多元化资金投入体系,降低对财政补贴依赖;加快数字化信息平台建设,实现精准化、智能化治理,从而有力保障粮食安全、持续提升土壤质量,全面推动黑土地保护向高质量、可持续方向发展。
摘要针对我国智慧课堂建设现状,探索了人工智能背景下蔬菜栽培学课程智慧课堂建设的实践路径。以人工智能、云计算、大数据等新一代新兴技术为支撑,重点打造智能化、高效化、现代化园艺特色智慧课堂,从精准教学、自主学习、智慧考试、智能评价、智能管理5个维度构建以学生为中心、以产出为导向的"教、学、考、评、管”五位一体智慧课堂教学模式,实现了智慧课堂育人模式的应用目标。
摘要随着黄河重大国家战略的深入实施,高校课程思政建设正面临时代赋予的新命题与新契机。以黄河流域生态保护和高质量发展国家战略为背景,通过问卷调查分析枣庄学院智慧农业课程思政建设的现状。基于枣庄学院智慧农业课程思政问卷调查,发现存在思政元素与专业内容耦合度偏低、教学方法创新性不足、实践环节薄弱、评价机制片面等问题,提出“三维联动”优化路径,旨在为涉农高校课程思政建设提供参考。
摘要以现代农业技术专业群建设为切入点,立足服务现代农业“三大体系”建设需求,构建“产业链—教育链—创新链”三链对接的协同育人体系,形成具有示范价值的专业群建设范式。通过整合植物保护与检疫技术、现代农业技术等5个专业,聚焦江苏省千亿级农业产业集群与徐州市智慧农业发展需求,创新"数智农业全链产教融合”人才培养模式,打造“三生相融”资源共享机制。该研究提出“四融三培”育人模式与动态耦合的模块化课程体系,开发双创思政融合教材、混合式金课及智慧教学平台,构建“四元三维"综合评价体系,强化教师的“教产研创”能力。依托政行企校联动机制,建成产业学院、乡村振兴人才培育中心及现代农业技术创新中心,形成“研发—转化—推广”全链条服务能力。实践表明,该专业群建设有效支撑了淮海经济区农业产业的升级,构建了“立德树人—模式创新—平台共建—产业服务—国际合作”五位一体发展体系,为现代农业复合型技术技能人才培养提供了可复制的“徐州方案”,对于乡村振兴与职业教育高质量发展具有显著的示范意义。
摘要在人工智能时代,高校思想政治教育话语传播是引领农业资源与环境专业大学生树立正确思想道德观念的重要途径。然而,人工智能的快速发展也为提升高校思想政治教育话语传播效度带来了挑战。高校应从思想政治教育话语传播的新特征、新理念及新发展出发,革新传统模式,使之与人工智能时代的思维逻辑相契合,致力于构建能够激发农业资源与环境专业大学生兴趣、符合其认知特点的话语体系,并借助人工智能技术,实现思想政治教育内容与形式的双重创新,旨在引导农业资源与环境专业大学生在人工智能的浪潮中,主动转变自身思想道德素质培育的实践方式,从而为提升思想政治教育话语效度、提升高校自身的育人格局发挥积极的指导作用。
摘要从玉米秸秆还田土壤中分离1株具有高效降解玉米秸秆功能的菌株,即嗜麦芽寡养单胞菌CHB1。通过PCR扩增,成功地克隆出1株内切葡聚糖酶基因Cel042,并将其与大肠杆菌DH5α相连,从而证实了这株菌株中是否存在这种酶基因。将该纤维素酶基因连接到表达载体 pPIC9中,成功构建了重组表达质粒载体pPIC9-Cel042。通过在毕赤酵母GS115中表达,并在甲醇诱导下进一步明确该菌株中是否含有内切葡